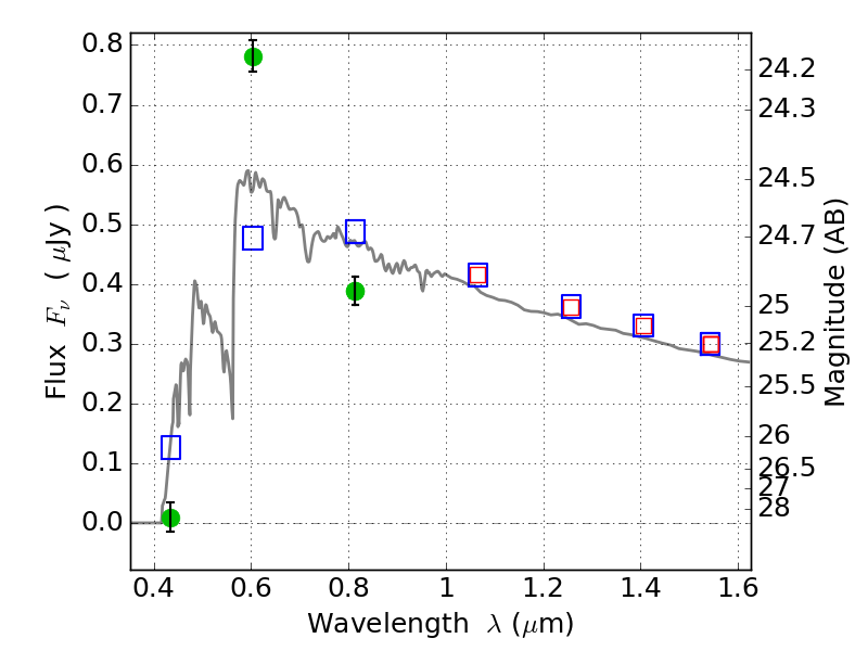
RXC0949+17 ACS+IR detection object #203

Color images and BPZ results
Catalog: 203.cat
Black segments are analyzed here.   Roll mouse over color images to view segments.
Best viewed in a wide browser window (1200 pixels or more).   Download SED & P(z) plots to view larger versions.
In P(z) plots: Yellow lines mark the cluster redshift z = 0.383,  

Object #203   x,y = (3896, 4179)   RA, Dec = (09:49:46.944, 17:09:02.16) = (147.44560, 17.15060)   BPZ = 3.634 [3.572--3.695]   type = 11.00 (SB11_A_0_l)   chisq2 = 72.59   ODDS = 1.00   z_cluster = 0.383