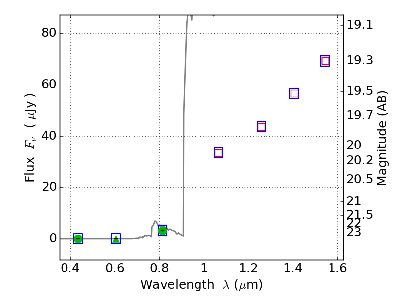
RXC0949+17 ACS+IR detection object #1983

Color images and BPZ results
Catalog: 1983.cat
Black segments are analyzed here.   Roll mouse over color images to view segments.
Best viewed in a wide browser window (1200 pixels or more).   Download SED & P(z) plots to view larger versions.
In P(z) plots: Yellow lines mark the cluster redshift z = 0.383,  

Object #1983   x,y = (4638, 2838)   RA, Dec = (09:49:43.824, 17:07:41.52) = (147.43260, 17.12820)   BPZ = 6.467 [6.161--8.529]   type = 6.00 (Sbc_B10)   chisq2 = 0.00   ODDS = 0.51   z_cluster = 0.383