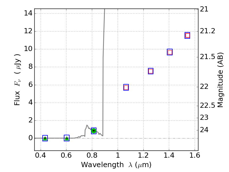
RXC0949+17 ACS+IR detection object #1719

Color images and BPZ results
Catalog: 1719.cat
Black segments are analyzed here.   Roll mouse over color images to view segments.
Best viewed in a wide browser window (1200 pixels or more).   Download SED & P(z) plots to view larger versions.
In P(z) plots: Yellow lines mark the cluster redshift z = 0.383,  

Object #1719   x,y = (4537, 3006)   RA, Dec = (09:49:44.256, 17:07:51.60) = (147.43440, 17.13100)   BPZ = 6.280 [5.919--8.839]   type = 6.00 (Sbc_B10)   chisq2 = 0.00   ODDS = 0.39   z_cluster = 0.383