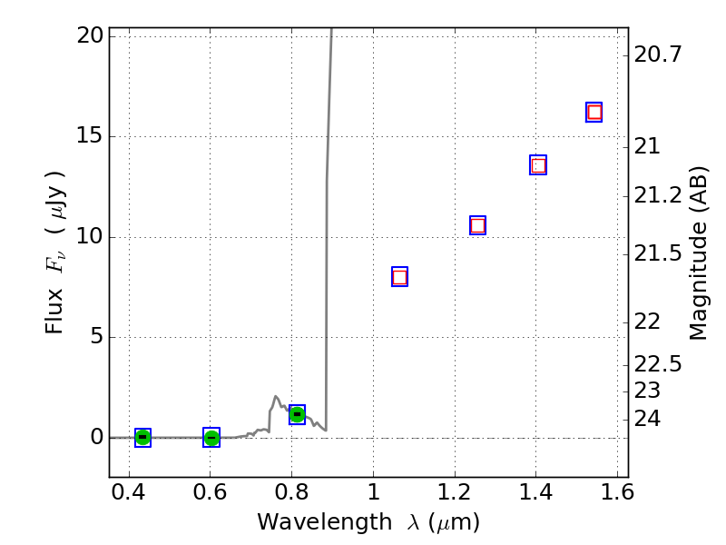
RXC0949+17 ACS+IR detection object #1662

Color images and BPZ results
Catalog: 1662.cat
Black segments are analyzed here.   Roll mouse over color images to view segments.
Best viewed in a wide browser window (1200 pixels or more).   Download SED & P(z) plots to view larger versions.
In P(z) plots: Yellow lines mark the cluster redshift z = 0.383,  

Object #1662   x,y = (4528, 3033)   RA, Dec = (09:49:44.280, 17:07:53.40) = (147.43450, 17.13150)   BPZ = 6.278 [5.931--8.850]   type = 6.00 (Sbc_B10)   chisq2 = 0.00   ODDS = 0.42   z_cluster = 0.383