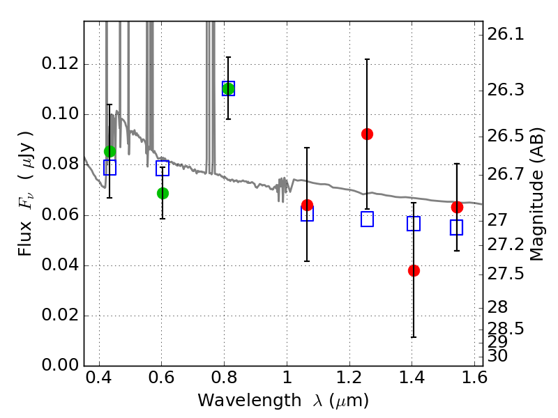
RXC0949+17 ACS+IR detection object #1647

Color images and BPZ results
Catalog: 1647.cat
Black segments are analyzed here.   Roll mouse over color images to view segments.
Best viewed in a wide browser window (1200 pixels or more).   Download SED & P(z) plots to view larger versions.
In P(z) plots: Yellow lines mark the cluster redshift z = 0.383,  

Object #1647   x,y = (2575, 3045)   RA, Dec = (09:49:52.464, 17:07:54.12) = (147.46860, 17.13170)   BPZ = 0.145 [0.091--0.910]   type = 11.00 (SB11_A_0_l)   chisq2 = 0.42   ODDS = 0.38   z_cluster = 0.383