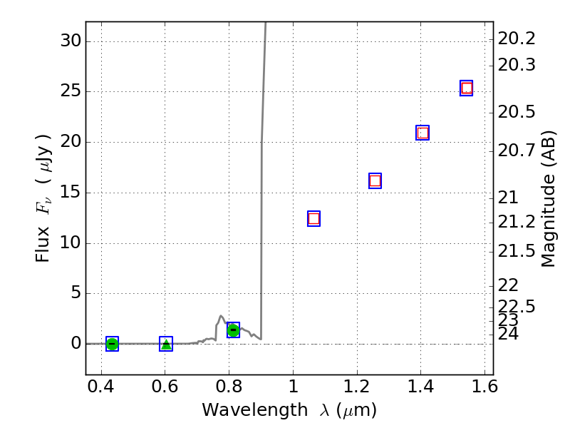
RXC0949+17 ACS+IR detection object #1641

Color images and BPZ results
Catalog: 1641.cat
Black segments are analyzed here.   Roll mouse over color images to view segments.
Best viewed in a wide browser window (1200 pixels or more).   Download SED & P(z) plots to view larger versions.
In P(z) plots: Yellow lines mark the cluster redshift z = 0.383,  

Object #1641   x,y = (4543, 3047)   RA, Dec = (09:49:44.232, 17:07:54.12) = (147.43430, 17.13170)   BPZ = 6.406 [6.015--8.757]   type = 6.00 (Sbc_B10)   chisq2 = 0.00   ODDS = 0.44   z_cluster = 0.383