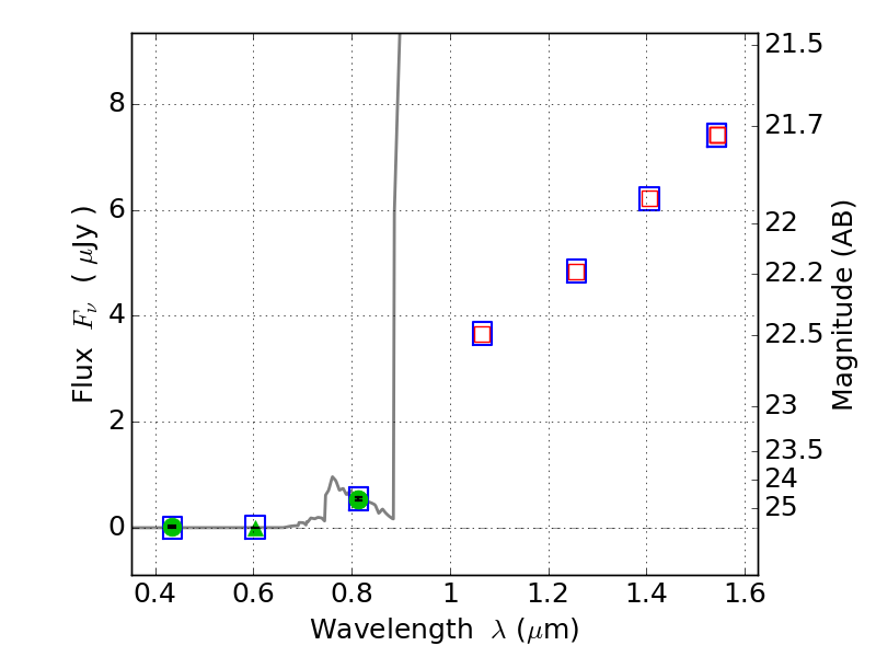
RXC0949+17 ACS+IR detection object #1569

Color images and BPZ results
Catalog: 1569.cat
Black segments are analyzed here.   Roll mouse over color images to view segments.
Best viewed in a wide browser window (1200 pixels or more).   Download SED & P(z) plots to view larger versions.
In P(z) plots: Yellow lines mark the cluster redshift z = 0.383,  

Object #1569   x,y = (506, 3089)   RA, Dec = (09:50:01.128, 17:07:56.64) = (147.50470, 17.13240)   BPZ = 6.276 [5.889--8.995]   type = 6.00 (Sbc_B10)   chisq2 = 0.00   ODDS = 0.37   z_cluster = 0.383