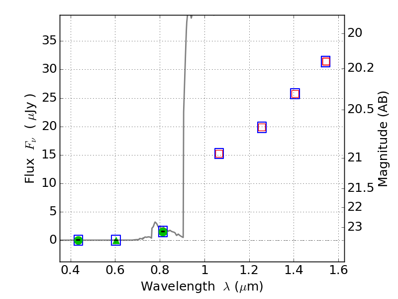
RXC0949+17 ACS+IR detection object #1554

Color images and BPZ results
Catalog: 1554.cat
Black segments are analyzed here.   Roll mouse over color images to view segments.
Best viewed in a wide browser window (1200 pixels or more).   Download SED & P(z) plots to view larger versions.
In P(z) plots: Yellow lines mark the cluster redshift z = 0.383,  

Object #1554   x,y = (512, 3100)   RA, Dec = (09:50:01.104, 17:07:57.36) = (147.50460, 17.13260)   BPZ = 6.453 [6.101--8.794]   type = 6.00 (Sbc_B10)   chisq2 = 0.00   ODDS = 0.45   z_cluster = 0.383