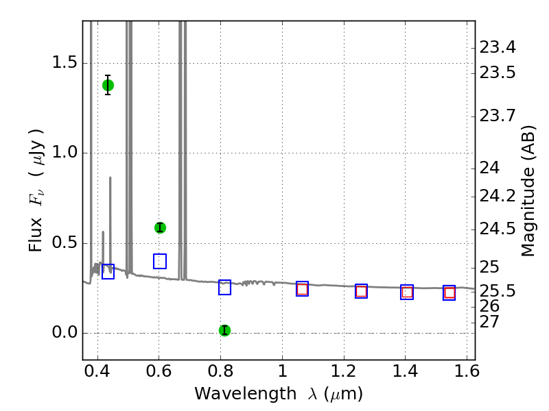
RXC0949+17 ACS+IR detection object #154

Color images and BPZ results
Catalog: 154.cat
Black segments are analyzed here.   Roll mouse over color images to view segments.
Best viewed in a wide browser window (1200 pixels or more).   Download SED & P(z) plots to view larger versions.
In P(z) plots: Yellow lines mark the cluster redshift z = 0.383,  

Object #154   x,y = (3843, 4249)   RA, Dec = (09:49:47.160, 17:09:06.12) = (147.44650, 17.15170)   BPZ = 0.017 [0.010--0.034]   type = 11.00 (SB11_A_0_l)   chisq2 = 435.40   ODDS = 1.00   z_cluster = 0.383