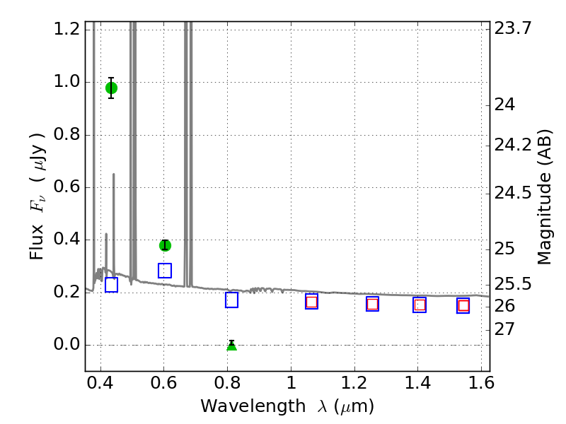
RXC0949+17 ACS+IR detection object #1501

Color images and BPZ results
Catalog: 1501.cat
Black segments are analyzed here.   Roll mouse over color images to view segments.
Best viewed in a wide browser window (1200 pixels or more).   Download SED & P(z) plots to view larger versions.
In P(z) plots: Yellow lines mark the cluster redshift z = 0.383,  

Object #1501   x,y = (4496, 3151)   RA, Dec = (09:49:44.424, 17:08:00.24) = (147.43510, 17.13340)   BPZ = 0.018 [0.010--0.036]   type = 11.00 (SB11_A_0_l)   chisq2 = 397.40   ODDS = 1.00   z_cluster = 0.383