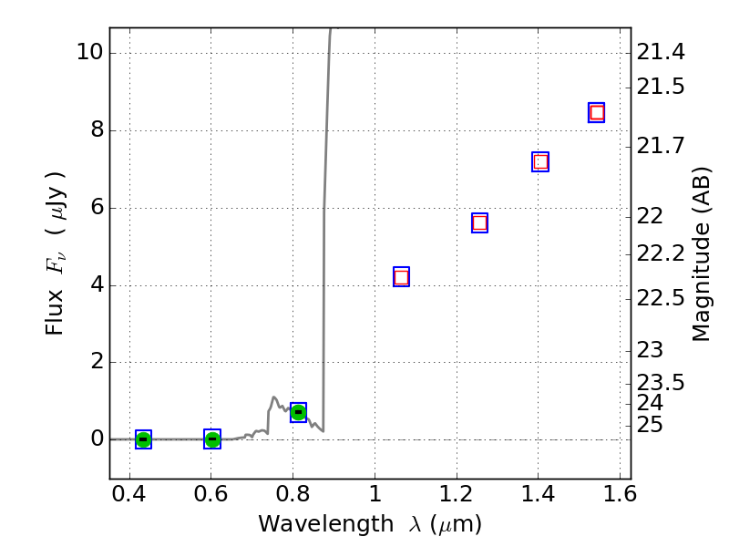
RXC0949+17 ACS+IR detection object #1371

Color images and BPZ results
Catalog: 1371.cat
Black segments are analyzed here.   Roll mouse over color images to view segments.
Best viewed in a wide browser window (1200 pixels or more).   Download SED & P(z) plots to view larger versions.
In P(z) plots: Yellow lines mark the cluster redshift z = 0.383,  

Object #1371   x,y = (4430, 3238)   RA, Dec = (09:49:44.712, 17:08:05.64) = (147.43630, 17.13490)   BPZ = 6.215 [5.853--8.837]   type = 6.00 (Sbc_B10)   chisq2 = 0.00   ODDS = 0.41   z_cluster = 0.383