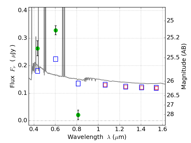
RXC0949+17 ACS+IR detection object #1192

Color images and BPZ results
Catalog: 1192.cat
Black segments are analyzed here.   Roll mouse over color images to view segments.
Best viewed in a wide browser window (1200 pixels or more).   Download SED & P(z) plots to view larger versions.
In P(z) plots: Yellow lines mark the cluster redshift z = 0.383,  

Object #1192   x,y = (4344, 3370)   RA, Dec = (09:49:45.072, 17:08:13.56) = (147.43780, 17.13710)   BPZ = 0.018 [0.010--0.038]   type = 11.00 (SB11_A_0_l)   chisq2 = 79.53   ODDS = 1.00   z_cluster = 0.383