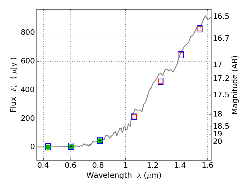
RXC0949+17 ACS+IR detection object #1136

Color images and BPZ results
Catalog: 1136.cat
Black segments are analyzed here.   Roll mouse over color images to view segments.
Best viewed in a wide browser window (1200 pixels or more).   Download SED & P(z) plots to view larger versions.
In P(z) plots: Yellow lines mark the cluster redshift z = 0.383,  

Object #1136   x,y = (1265, 3360)   RA, Dec = (09:49:57.960, 17:08:12.84) = (147.49150, 17.13690)   BPZ = 1.616 [1.559--1.948]   type = 1.10 (Ell7_A_0 - Ell6_A_0)   chisq2 = 0.00   ODDS = 0.42   z_cluster = 0.383