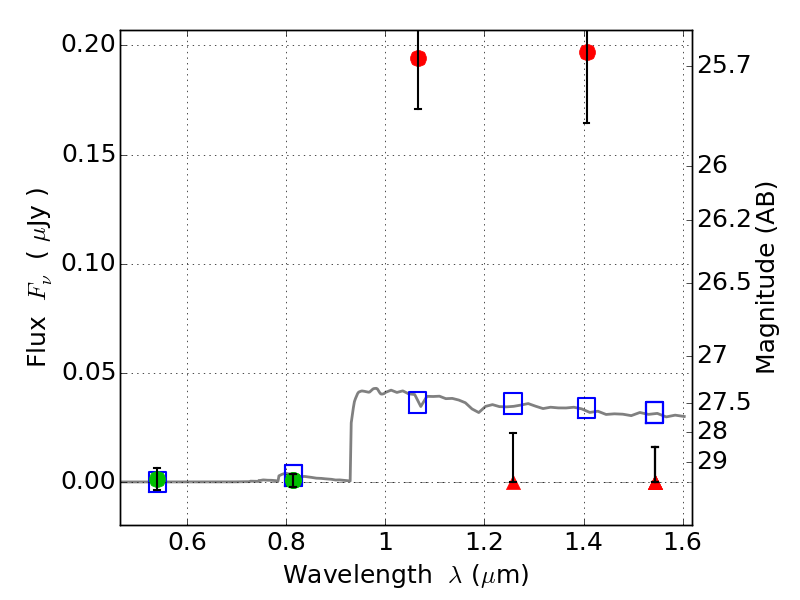
RXC0911+17 IR detection object #824

Color images and BPZ results
Catalog: 824.cat
Black segments are analyzed here.   Roll mouse over color images to view segments.
Best viewed in a wide browser window (1200 pixels or more).   Download SED & P(z) plots to view larger versions.
In P(z) plots: Yellow lines mark the cluster redshift z = 0.505,  

Object #824   x,y = (3431, 1282)   RA, Dec = (09:11:08.688, 17:45:42.84) = (137.78620, 17.76190)   BPZ = 6.652 [1.030--7.299]   type = 11.00 (SB11_A_0_l)   chisq2 = 13.96   ODDS = 0.69   z_cluster = 0.505