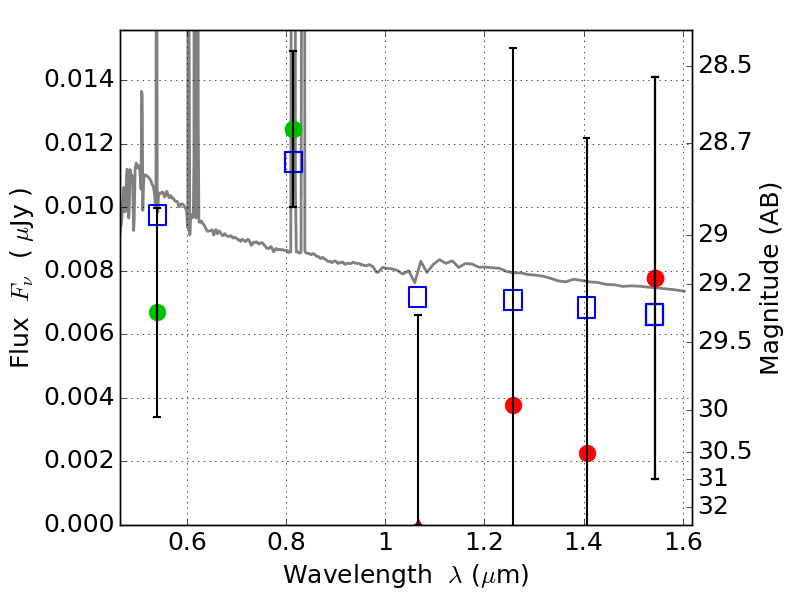
RXC0911+17 ACS+IR detection object #623

Color images and BPZ results
Catalog: 623.cat
Black segments are analyzed here.   Roll mouse over color images to view segments.
Best viewed in a wide browser window (1200 pixels or more).   Download SED & P(z) plots to view larger versions.
In P(z) plots: Yellow lines mark the cluster redshift z = 0.505,  

Object #623   x,y = (1661, 2466)   RA, Dec = (09:11:16.128, 17:46:54.12) = (137.81720, 17.78170)   BPZ = 0.237 [0.127--4.632]   type = 11.00 (SB11_A_0_l)   chisq2 = 0.45   ODDS = 0.08   z_cluster = 0.505