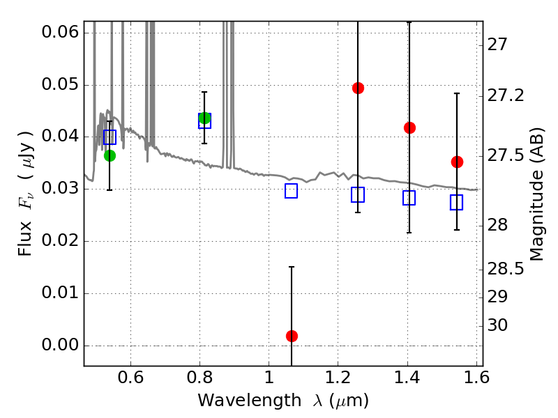
RXC0911+17 ACS+IR detection object #1611

Color images and BPZ results
Catalog: 1611.cat
Black segments are analyzed here.   Roll mouse over color images to view segments.
Best viewed in a wide browser window (1200 pixels or more).   Download SED & P(z) plots to view larger versions.
In P(z) plots: Yellow lines mark the cluster redshift z = 0.505,  

Object #1611   x,y = (2962, 1256)   RA, Dec = (09:11:10.656, 17:45:41.76) = (137.79440, 17.76160)   BPZ = 0.335 [0.123--3.769]   type = 11.00 (SB11_A_0_l)   chisq2 = 1.11   ODDS = 0.13   z_cluster = 0.505