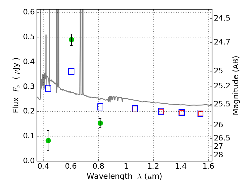
RXC0600-20 ACS+IR detection object #1169

Color images and BPZ results
Catalog: 1169.cat
Black segments are analyzed here.   Roll mouse over color images to view segments.
Best viewed in a wide browser window (1200 pixels or more).   Download SED & P(z) plots to view larger versions.
In P(z) plots: Yellow lines mark the cluster redshift z = 0.460,  

Object #1169   x,y = (1488, 3879)   RA, Dec = (06:00:14.952, -20:06:59.40) = (90.06230, -20.11650)   BPZ = 0.018 [0.010--0.042]   type = 11.00 (SB11_A_0_l)   stellarity = 0.98   chisq2 = 39.80   ODDS = 1.00   z_cluster = 0.460