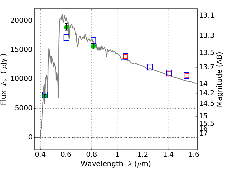
RXC0600-20 ACS+IR detection object #440

Color images and BPZ results
Catalog: 440.cat
Black segments are analyzed here.   Roll mouse over color images to view segments.
Best viewed in a wide browser window (1200 pixels or more).   Download SED & P(z) plots to view larger versions.
In P(z) plots: Yellow lines mark the cluster redshift z = 0.460,  

Object #440   x,y = (2896, 4331)   RA, Dec = (06:00:08.952, -20:06:32.40) = (90.03730, -20.10900)   BPZ = 3.461 [0.290--3.493]   type = 11.00 (SB11_A_0_l)   stellarity = 0.85   chisq2 = 2.62   ODDS = 0.81   z_cluster = 0.460