RXC0600-20 ACS+IR detection object #3223

Color images and BPZ results
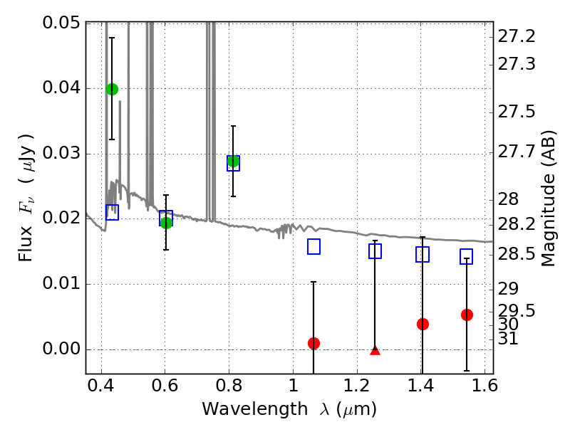
Catalog: 3223.cat
Black segments are analyzed here.   Roll mouse over color images to view segments.
Best viewed in a wide browser window (1200 pixels or more).   Download SED & P(z) plots to view larger versions.
In P(z) plots: Yellow lines mark the cluster redshift z = 0.460,  

Object #3223   x,y = (1962, 2764)   RA, Dec = (06:00:12.936, -20:08:06.36) = (90.05390, -20.13510)   BPZ = 0.116 [0.084--2.900]   type = 11.00 (SB11_A_0_l)   stellarity = 0.05   chisq2 = 2.61   ODDS = 0.16   z_cluster = 0.460