RXC0600-20 ACS+IR detection object #4736

Color images and BPZ results
Catalog: 4736.cat
Black segments are analyzed here.   Roll mouse over color images to view segments.
Best viewed in a wide browser window (1200 pixels or more).   Download SED & P(z) plots to view larger versions.
In P(z) plots: Yellow lines mark the cluster redshift z = 0.460,  

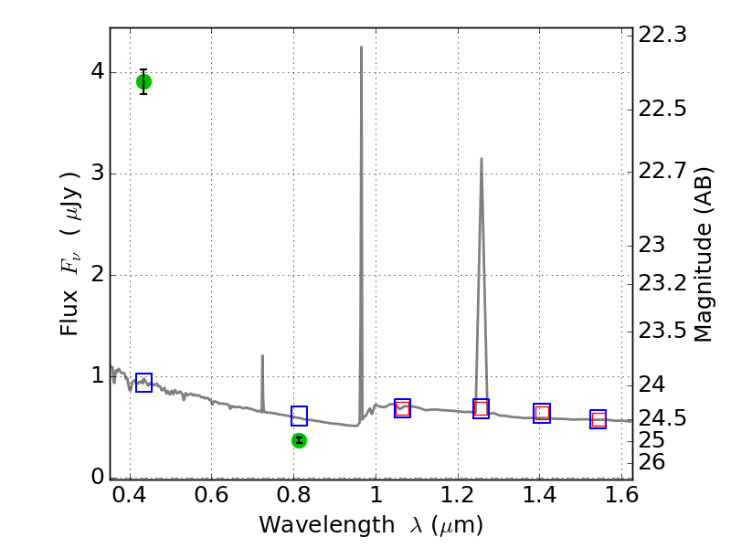
Object #4736   x,y = (4420, 1859)   RA, Dec = (06:00:02.448, -20:09:00.72) = (90.01020, -20.15020)   BPZ = 1.593 [1.538--1.829]   type = 11.00 (SB11_A_0_l)   stellarity = 0.96   chisq2 = 480.90   ODDS = 0.91   z_cluster = 0.460