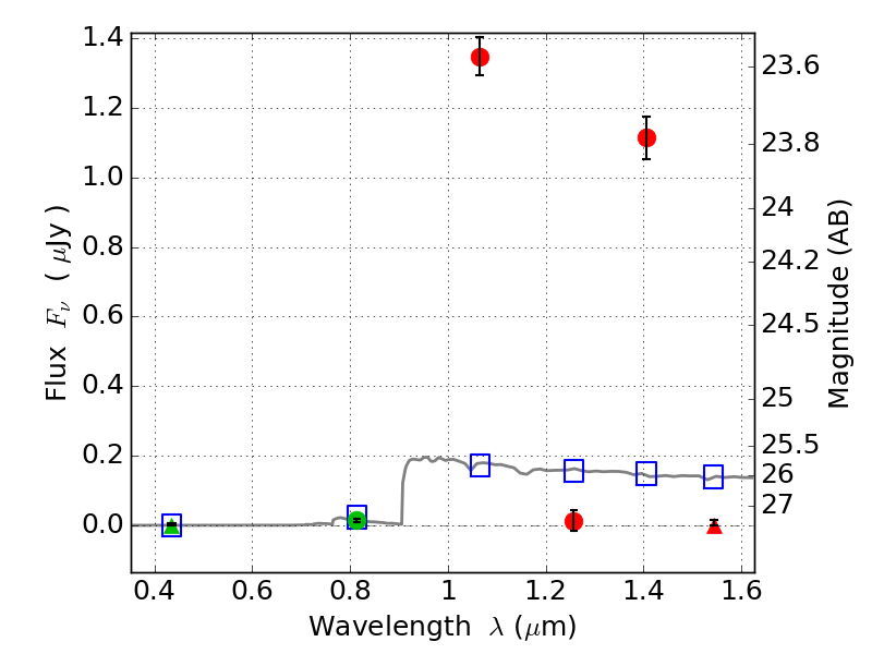
RXC0600-20 ACS+IR detection object #1315

Color images and BPZ results
Catalog: 1315.cat
Black segments are analyzed here.   Roll mouse over color images to view segments.
Best viewed in a wide browser window (1200 pixels or more).   Download SED & P(z) plots to view larger versions.
In P(z) plots: Yellow lines mark the cluster redshift z = 0.460,  

Object #1315   x,y = (2812, 3620)   RA, Dec = (06:00:09.312, -20:07:14.88) = (90.03880, -20.12080)   BPZ = 6.462 [6.365--6.601]   type = 11.00 (SB11_A_0_l)   stellarity = 0.81   chisq2 = 251.10   ODDS = 1.00   z_cluster = 0.460