RXC0600-20-PAR IR detection object #2849

Color images and BPZ results
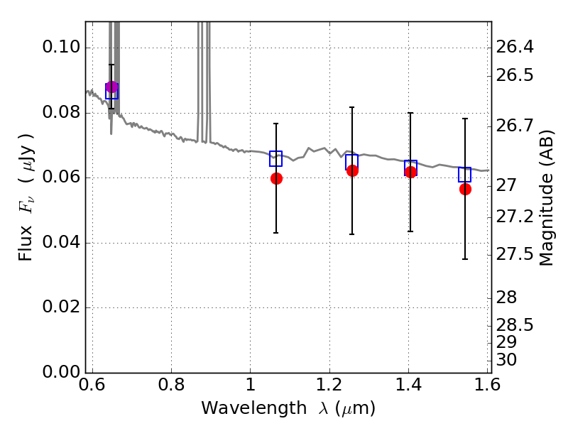
Catalog: 2849.cat
Black segments are analyzed here.   Roll mouse over color images to view segments.
Best viewed in a wide browser window (1200 pixels or more).   Download SED & P(z) plots to view larger versions.
In P(z) plots: Yellow lines mark the cluster redshift z = 0.460,  

Object #2849   x,y = (908, 933)   RA, Dec = (06:00:37.968, -20:08:42.36) = (90.15820, -20.14510)   BPZ = 0.330 [0.089--3.126]   type = 11.00 (SB11_A_0_l)   stellarity = 0.00   chisq2 = 0.10   ODDS = 0.08   z_cluster = 0.460