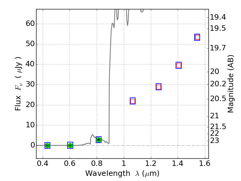
RXC0232-44 ACS+IR detection object #623

Color images and BPZ results
Catalog: 623.cat
Black segments are analyzed here.   Roll mouse over color images to view segments.
Best viewed in a wide browser window (1200 pixels or more).   Download SED & P(z) plots to view larger versions.
In P(z) plots: Yellow lines mark the cluster redshift z = 0.284,  

Object #623   x,y = (1142, 3902)   RA, Dec = (02:32:25.920, -44:19:18.12) = (38.10800, -44.32170)   BPZ = 6.341 [6.087--8.388]   type = 5.40 (ES0_B10 - Sbc_B10)   chisq2 = 0.00   ODDS = 0.57   z_cluster = 0.284