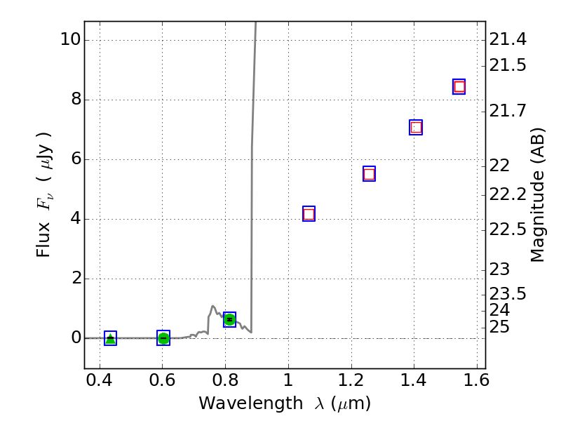
RXC0232-44 ACS+IR detection object #4266

Color images and BPZ results
Catalog: 4266.cat
Black segments are analyzed here.   Roll mouse over color images to view segments.
Best viewed in a wide browser window (1200 pixels or more).   Download SED & P(z) plots to view larger versions.
In P(z) plots: Yellow lines mark the cluster redshift z = 0.284,  

Object #4266   x,y = (365, 1770)   RA, Dec = (02:32:30.264, -44:21:25.92) = (38.12610, -44.35720)   BPZ = 6.271 [5.877--8.887]   type = 6.00 (Sbc_B10)   chisq2 = 0.00   ODDS = 0.39   z_cluster = 0.284