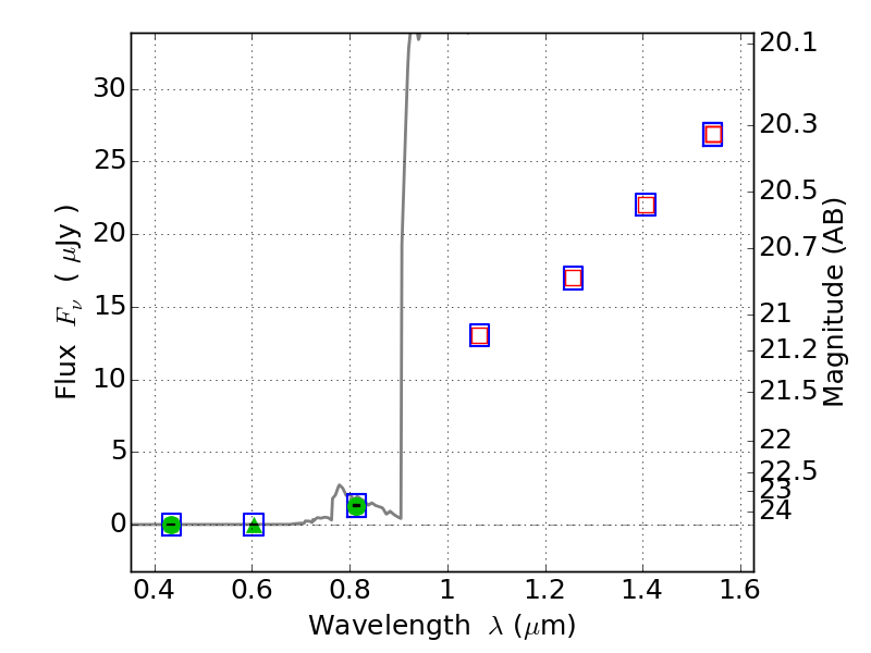
RXC0232-44 ACS+IR detection object #3919

Color images and BPZ results
Catalog: 3919.cat
Black segments are analyzed here.   Roll mouse over color images to view segments.
Best viewed in a wide browser window (1200 pixels or more).   Download SED & P(z) plots to view larger versions.
In P(z) plots: Yellow lines mark the cluster redshift z = 0.284,  

Object #3919   x,y = (4164, 1960)   RA, Dec = (02:32:09.000, -44:21:14.40) = (38.03750, -44.35400)   BPZ = 6.453 [6.100--8.819]   type = 6.00 (Sbc_B10)   chisq2 = 0.00   ODDS = 0.45   z_cluster = 0.284