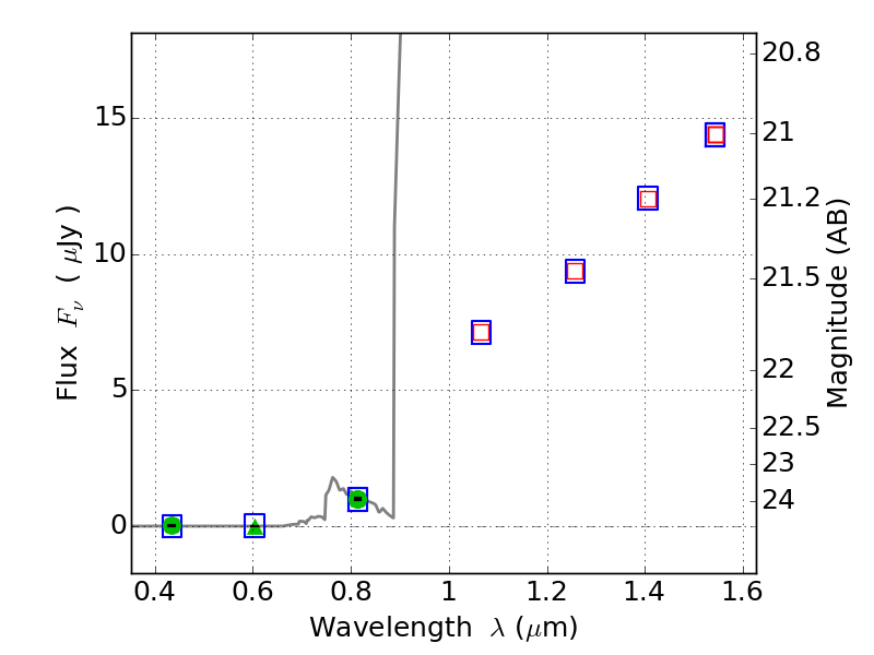
RXC0232-44 ACS+IR detection object #2771

Color images and BPZ results
Catalog: 2771.cat
Black segments are analyzed here.   Roll mouse over color images to view segments.
Best viewed in a wide browser window (1200 pixels or more).   Download SED & P(z) plots to view larger versions.
In P(z) plots: Yellow lines mark the cluster redshift z = 0.284,  

Object #2771   x,y = (4312, 2502)   RA, Dec = (02:32:08.184, -44:20:42.00) = (38.03410, -44.34500)   BPZ = 6.299 [5.973--8.937]   type = 6.00 (Sbc_B10)   chisq2 = 0.00   ODDS = 0.39   z_cluster = 0.284