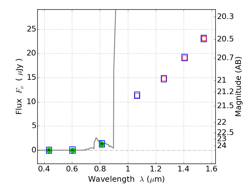
RXC0232-44 ACS+IR detection object #2657

Color images and BPZ results
Catalog: 2657.cat
Black segments are analyzed here.   Roll mouse over color images to view segments.
Best viewed in a wide browser window (1200 pixels or more).   Download SED & P(z) plots to view larger versions.
In P(z) plots: Yellow lines mark the cluster redshift z = 0.284,  

Object #2657   x,y = (684, 2662)   RA, Dec = (02:32:28.488, -44:20:32.28) = (38.11870, -44.34230)   BPZ = 6.387 [6.030--8.783]   type = 6.00 (Sbc_B10)   chisq2 = 0.00   ODDS = 0.44   z_cluster = 0.284