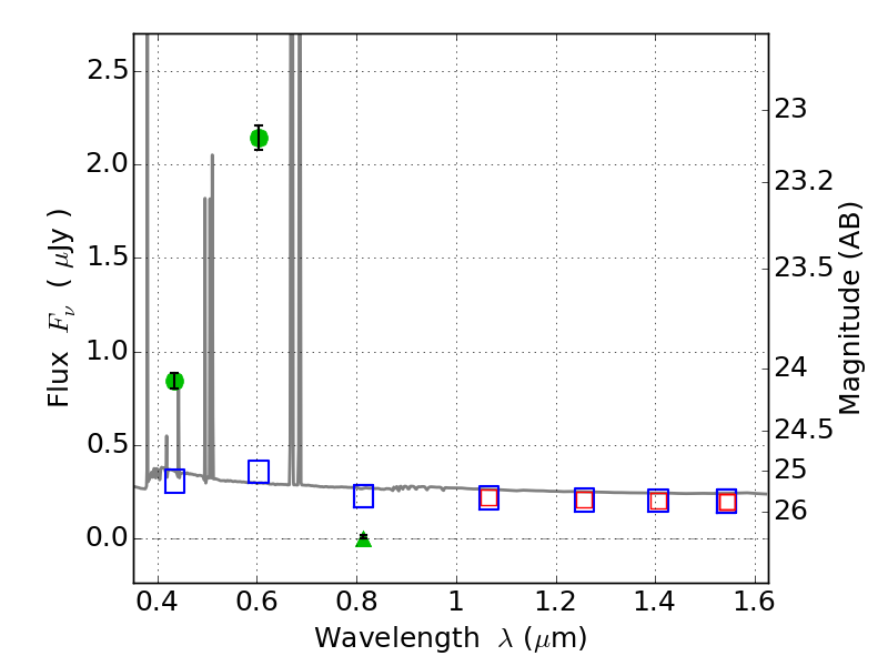
RXC0232-44 ACS+IR detection object #1560

Color images and BPZ results
Catalog: 1560.cat
Black segments are analyzed here.   Roll mouse over color images to view segments.
Best viewed in a wide browser window (1200 pixels or more).   Download SED & P(z) plots to view larger versions.
In P(z) plots: Yellow lines mark the cluster redshift z = 0.284,  

Object #1560   x,y = (882, 3265)   RA, Dec = (02:32:27.360, -44:19:56.28) = (38.11400, -44.33230)   BPZ = 0.017 [0.010--0.033]   type = 11.00 (SB11_A_0_l)   chisq2 = 875.70   ODDS = 1.00   z_cluster = 0.284