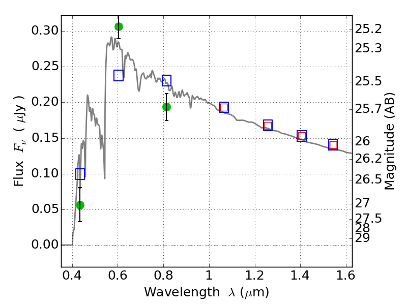
RXC0232-44 ACS+IR detection object #1425

Color images and BPZ results
Catalog: 1425.cat
Black segments are analyzed here.   Roll mouse over color images to view segments.
Best viewed in a wide browser window (1200 pixels or more).   Download SED & P(z) plots to view larger versions.
In P(z) plots: Yellow lines mark the cluster redshift z = 0.284,  

Object #1425   x,y = (949, 3338)   RA, Dec = (02:32:27.000, -44:19:51.96) = (38.11250, -44.33110)   BPZ = 3.467 [3.260--3.642]   type = 11.00 (SB11_A_0_l)   chisq2 = 15.45   ODDS = 0.94   z_cluster = 0.284