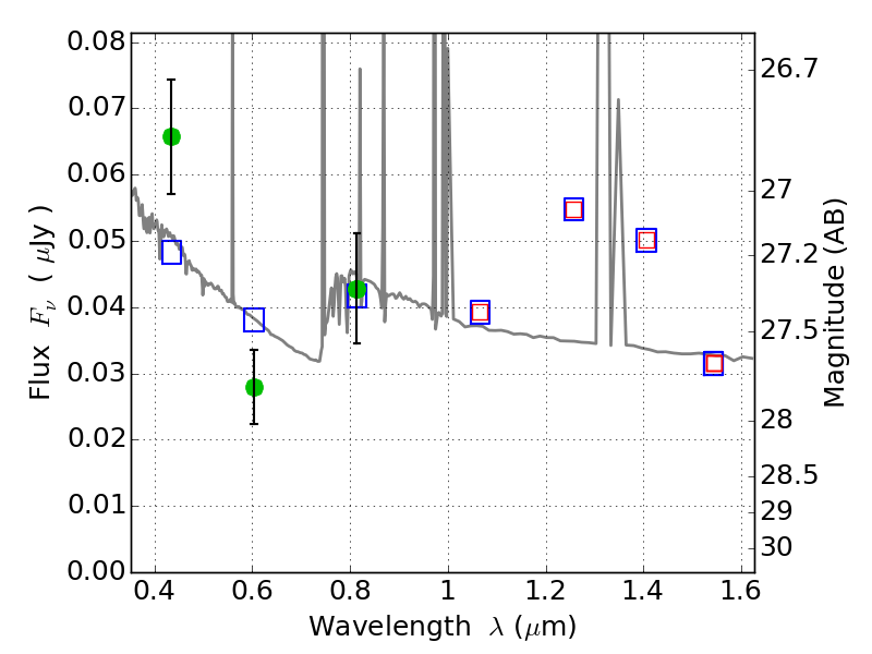
RXC0232-44 ACS+IR detection object #1417

Color images and BPZ results
Catalog: 1417.cat
Black segments are analyzed here.   Roll mouse over color images to view segments.
Best viewed in a wide browser window (1200 pixels or more).   Download SED & P(z) plots to view larger versions.
In P(z) plots: Yellow lines mark the cluster redshift z = 0.284,  

Object #1417   x,y = (4345, 3432)   RA, Dec = (02:32:07.992, -44:19:46.20) = (38.03330, -44.32950)   BPZ = 1.001 [0.682--2.385]   type = 11.00 (SB11_A_0_l)   chisq2 = 5.77   ODDS = 0.25   z_cluster = 0.284