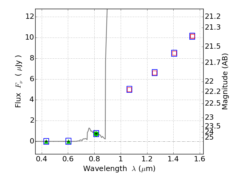
RXC0142+44 ACS+IR detection object #4750
Color images and BPZ results
Catalog: 4750.cat
Black segments are analyzed here. Roll mouse over color images to view segments.
Best viewed in a wide browser window (1200 pixels or more). Download SED & P(z) plots to view larger versions.
In P(z) plots: Yellow lines mark the cluster redshift z = 0.341,
Object #4750 x,y = (4343, 1328) RA, Dec = (01:42:44.448, 44:36:52.92) = (25.68520, 44.61470) BPZ = 6.275 [5.888--8.846] type = 6.00 (Sbc_B10) chisq2 = 0.00 ODDS = 0.39 z_cluster = 0.341