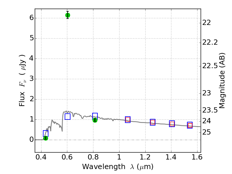
RXC0142+44 ACS+IR detection object #3996

Color images and BPZ results
Catalog: 3996.cat
Black segments are analyzed here.   Roll mouse over color images to view segments.
Best viewed in a wide browser window (1200 pixels or more).   Download SED & P(z) plots to view larger versions.
In P(z) plots: Yellow lines mark the cluster redshift z = 0.341,  

Object #3996   x,y = (824, 1874)   RA, Dec = (01:43:04.248, 44:37:25.68) = (25.76770, 44.62380)   BPZ = 3.632 [3.567--3.698]   type = 11.00 (SB11_A_0_l)   chisq2 = 657.20   ODDS = 1.00   z_cluster = 0.341