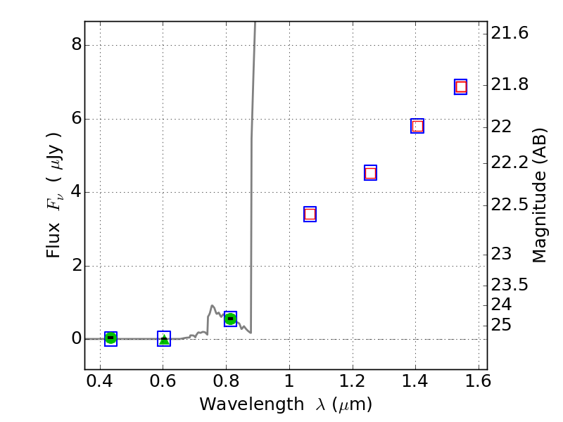
RXC0142+44 ACS+IR detection object #3926
Color images and BPZ results
Catalog: 3926.cat
Black segments are analyzed here. Roll mouse over color images to view segments.
Best viewed in a wide browser window (1200 pixels or more). Download SED & P(z) plots to view larger versions.
In P(z) plots: Yellow lines mark the cluster redshift z = 0.341,
Object #3926 x,y = (4314, 1914) RA, Dec = (01:42:44.616, 44:37:28.20) = (25.68590, 44.62450) BPZ = 6.231 [5.784--9.088] type = 6.00 (Sbc_B10) chisq2 = 0.01 ODDS = 0.37 z_cluster = 0.341