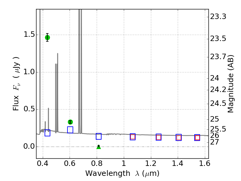
RXC0142+44 ACS+IR detection object #387

Color images and BPZ results
Catalog: 387.cat
Black segments are analyzed here.   Roll mouse over color images to view segments.
Best viewed in a wide browser window (1200 pixels or more).   Download SED & P(z) plots to view larger versions.
In P(z) plots: Yellow lines mark the cluster redshift z = 0.341,  

Object #387   x,y = (4195, 4052)   RA, Dec = (01:42:45.288, 44:39:36.36) = (25.68870, 44.66010)   BPZ = 0.019 [0.010--1.614]   type = 11.00 (SB11_A_0_l)   chisq2 = 629.60   ODDS = 0.95   z_cluster = 0.341