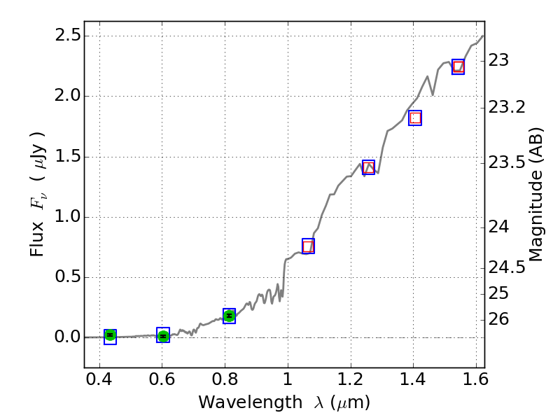
RXC0142+44 ACS+IR detection object #3766
Color images and BPZ results
Catalog: 3766.cat
Black segments are analyzed here. Roll mouse over color images to view segments.
Best viewed in a wide browser window (1200 pixels or more). Download SED & P(z) plots to view larger versions.
In P(z) plots: Yellow lines mark the cluster redshift z = 0.341,
Object #3766 x,y = (834, 2015) RA, Dec = (01:43:04.176, 44:37:34.32) = (25.76740, 44.62620) BPZ = 1.477 [1.352--7.865] type = 2.00 (Ell6_A_0) chisq2 = 0.02 ODDS = 0.08 z_cluster = 0.341