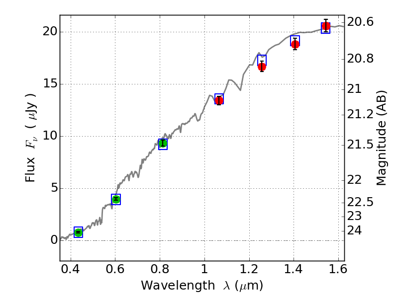
RXC0142+44 ACS+IR detection object #3569
Color images and BPZ results
Catalog: 3569.cat
Black segments are analyzed here. Roll mouse over color images to view segments.
Best viewed in a wide browser window (1200 pixels or more). Download SED & P(z) plots to view larger versions.
In P(z) plots: Yellow lines mark the cluster redshift z = 0.341,
Object #3569 x,y = (1925, 2119) RA, Dec = (01:42:58.056, 44:37:40.44) = (25.74190, 44.62790) BPZ = 0.364 [0.304--0.401] type = 3.30 (Ell5_A_0 - Ell4_A_0) chisq2 = 0.05 ODDS = 0.96 z_cluster = 0.341