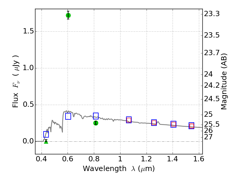
RXC0142+44 ACS+IR detection object #3489

Color images and BPZ results
Catalog: 3489.cat
Black segments are analyzed here.   Roll mouse over color images to view segments.
Best viewed in a wide browser window (1200 pixels or more).   Download SED & P(z) plots to view larger versions.
In P(z) plots: Yellow lines mark the cluster redshift z = 0.341,  

Object #3489   x,y = (771, 2172)   RA, Dec = (01:43:04.536, 44:37:43.68) = (25.76890, 44.62880)   BPZ = 3.614 [3.516--3.687]   type = 11.00 (SB11_A_0_l)   chisq2 = 552.00   ODDS = 1.00   z_cluster = 0.341