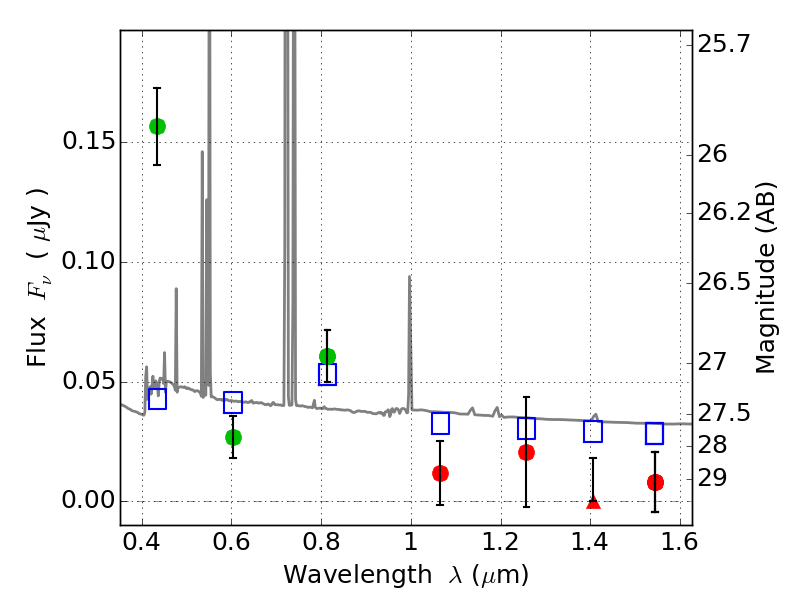
RXC0142+44 ACS+IR detection object #3481

Color images and BPZ results
Catalog: 3481.cat
Black segments are analyzed here.   Roll mouse over color images to view segments.
Best viewed in a wide browser window (1200 pixels or more).   Download SED & P(z) plots to view larger versions.
In P(z) plots: Yellow lines mark the cluster redshift z = 0.341,  

Object #3481   x,y = (2458, 2184)   RA, Dec = (01:42:55.056, 44:37:44.40) = (25.72940, 44.62900)   BPZ = 0.100 [0.075--2.064]   type = 10.90 (SB11_A_0_l - SB3_B10)   chisq2 = 9.00   ODDS = 0.64   z_cluster = 0.341