RXC0142+44 ACS+IR detection object #3210

Color images and BPZ results
Catalog: 3210.cat
Black segments are analyzed here.   Roll mouse over color images to view segments.
Best viewed in a wide browser window (1200 pixels or more).   Download SED & P(z) plots to view larger versions.
In P(z) plots: Yellow lines mark the cluster redshift z = 0.341,  

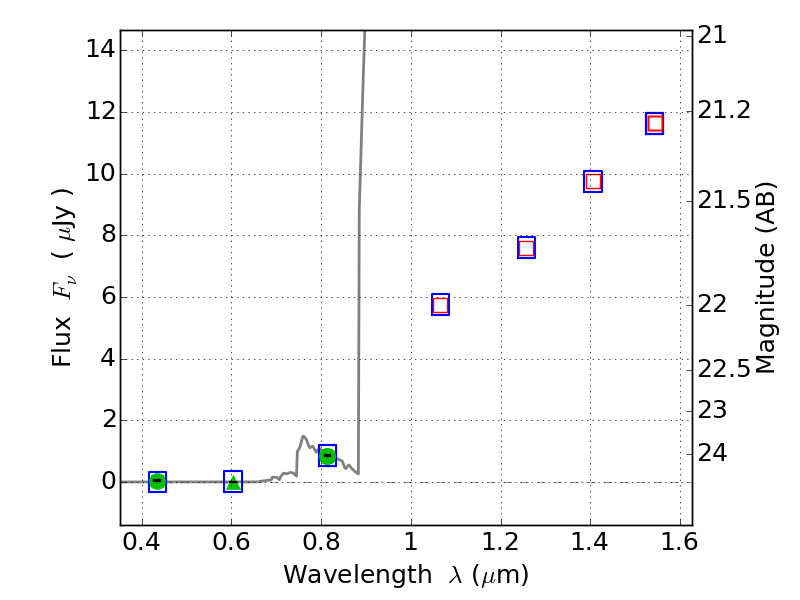
Object #3210   x,y = (4298, 2301)   RA, Dec = (01:42:44.712, 44:37:51.24) = (25.68630, 44.63090)   BPZ = 6.272 [5.871--9.058]   type = 6.00 (Sbc_B10)   chisq2 = 0.00   ODDS = 0.39   z_cluster = 0.341