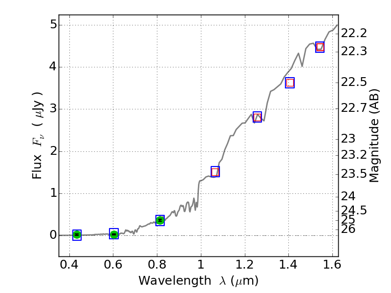
RXC0142+44 ACS+IR detection object #3171

Color images and BPZ results
Catalog: 3171.cat
Black segments are analyzed here.   Roll mouse over color images to view segments.
Best viewed in a wide browser window (1200 pixels or more).   Download SED & P(z) plots to view larger versions.
In P(z) plots: Yellow lines mark the cluster redshift z = 0.341,  

Object #3171   x,y = (750, 2333)   RA, Dec = (01:43:04.656, 44:37:53.40) = (25.76940, 44.63150)   BPZ = 1.476 [1.341--5.884]   type = 2.00 (Ell6_A_0)   chisq2 = 0.01   ODDS = 0.12   z_cluster = 0.341