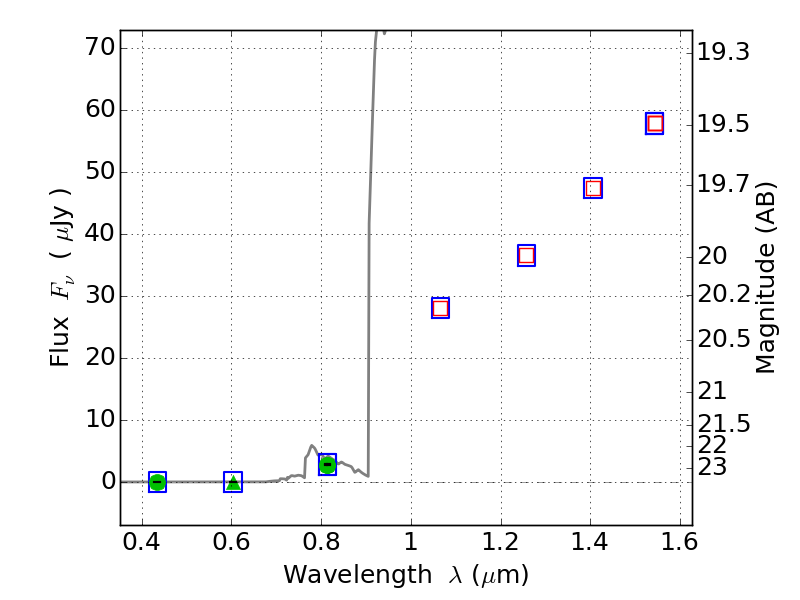
RXC0142+44 ACS+IR detection object #296

Color images and BPZ results
Catalog: 296.cat
Black segments are analyzed here.   Roll mouse over color images to view segments.
Best viewed in a wide browser window (1200 pixels or more).   Download SED & P(z) plots to view larger versions.
In P(z) plots: Yellow lines mark the cluster redshift z = 0.341,  

Object #296   x,y = (4209, 4080)   RA, Dec = (01:42:45.192, 44:39:38.16) = (25.68830, 44.66060)   BPZ = 6.449 [6.087--8.490]   type = 6.00 (Sbc_B10)   chisq2 = 0.00   ODDS = 0.51   z_cluster = 0.341