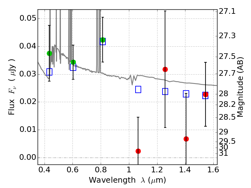
RXC0142+44 ACS+IR detection object #2901

Color images and BPZ results
Catalog: 2901.cat
Black segments are analyzed here.   Roll mouse over color images to view segments.
Best viewed in a wide browser window (1200 pixels or more).   Download SED & P(z) plots to view larger versions.
In P(z) plots: Yellow lines mark the cluster redshift z = 0.341,  

Object #2901   x,y = (3597, 2489)   RA, Dec = (01:42:48.648, 44:38:02.76) = (25.70270, 44.63410)   BPZ = 0.179 [0.083--3.225]   type = 11.00 (SB11_A_0_l)   chisq2 = 0.68   ODDS = 0.25   z_cluster = 0.341