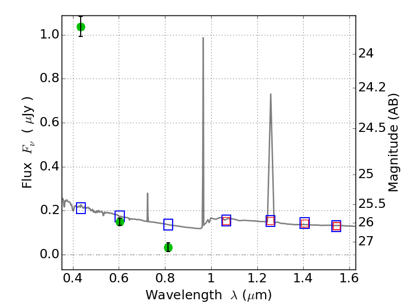
RXC0142+44 ACS+IR detection object #2768
Color images and BPZ results
Catalog: 2768.cat
Black segments are analyzed here. Roll mouse over color images to view segments.
Best viewed in a wide browser window (1200 pixels or more). Download SED & P(z) plots to view larger versions.
In P(z) plots: Yellow lines mark the cluster redshift z = 0.341,
Object #2768 x,y = (745, 2557) RA, Dec = (01:43:04.680, 44:38:06.72) = (25.76950, 44.63520) BPZ = 1.593 [1.435--2.099] type = 11.00 (SB11_A_0_l) chisq2 = 349.90 ODDS = 0.58 z_cluster = 0.341