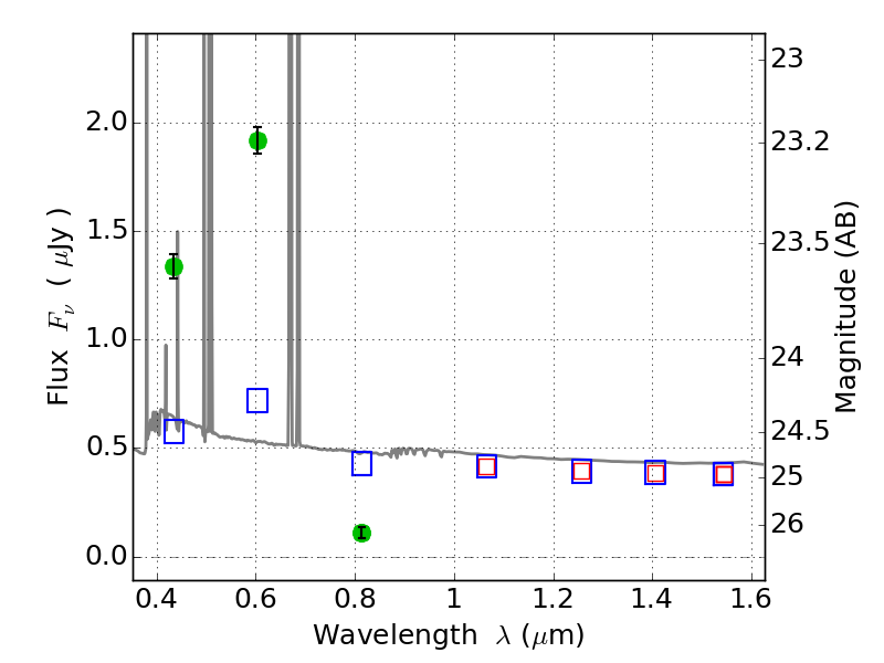
RXC0142+44 ACS+IR detection object #2688

Color images and BPZ results
Catalog: 2688.cat
Black segments are analyzed here.   Roll mouse over color images to view segments.
Best viewed in a wide browser window (1200 pixels or more).   Download SED & P(z) plots to view larger versions.
In P(z) plots: Yellow lines mark the cluster redshift z = 0.341,  

Object #2688   x,y = (725, 2825)   RA, Dec = (01:43:04.800, 44:38:22.56) = (25.77000, 44.63960)   BPZ = 0.016 [0.010--0.031]   type = 11.00 (SB11_A_0_l)   chisq2 = 415.70   ODDS = 1.00   z_cluster = 0.341