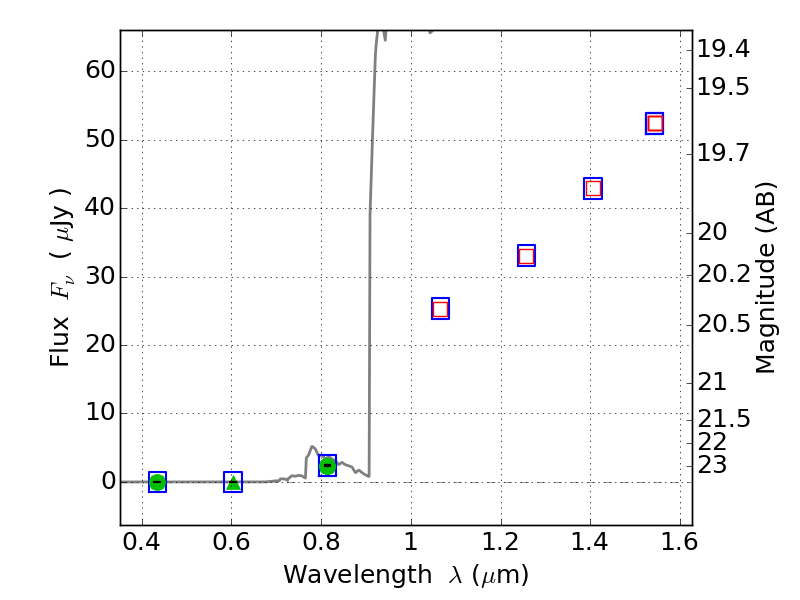
RXC0142+44 ACS+IR detection object #2565
Color images and BPZ results
Catalog: 2565.cat
Black segments are analyzed here. Roll mouse over color images to view segments.
Best viewed in a wide browser window (1200 pixels or more). Download SED & P(z) plots to view larger versions.
In P(z) plots: Yellow lines mark the cluster redshift z = 0.341,
Object #2565 x,y = (763, 2661) RA, Dec = (01:43:04.584, 44:38:12.84) = (25.76910, 44.63690) BPZ = 6.465 [6.144--8.606] type = 6.00 (Sbc_B10) chisq2 = 0.00 ODDS = 0.49 z_cluster = 0.341