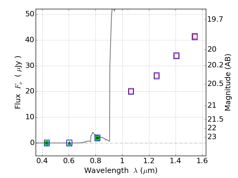
RXC0142+44 ACS+IR detection object #2522

Color images and BPZ results
Catalog: 2522.cat
Black segments are analyzed here.   Roll mouse over color images to view segments.
Best viewed in a wide browser window (1200 pixels or more).   Download SED & P(z) plots to view larger versions.
In P(z) plots: Yellow lines mark the cluster redshift z = 0.341,  

Object #2522   x,y = (755, 2686)   RA, Dec = (01:43:04.632, 44:38:14.28) = (25.76930, 44.63730)   BPZ = 6.455 [6.116--8.655]   type = 6.00 (Sbc_B10)   chisq2 = 0.00   ODDS = 0.47   z_cluster = 0.341