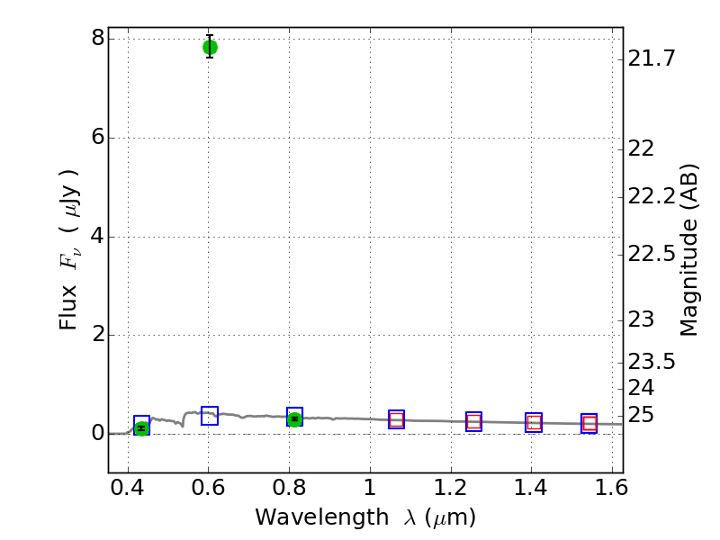
RXC0142+44 ACS+IR detection object #2454
Color images and BPZ results
Catalog: 2454.cat
Black segments are analyzed here. Roll mouse over color images to view segments.
Best viewed in a wide browser window (1200 pixels or more). Download SED & P(z) plots to view larger versions.
In P(z) plots: Yellow lines mark the cluster redshift z = 0.341,
Object #2454 x,y = (4241, 2694) RA, Dec = (01:42:45.024, 44:38:15.00) = (25.68760, 44.63750) BPZ = 3.421 [3.086--3.617] type = 11.00 (SB11_A_0_l) chisq2 = 1040.00 ODDS = 0.86 z_cluster = 0.341