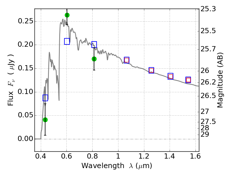
RXC0142+44 ACS+IR detection object #2448
Color images and BPZ results
Catalog: 2448.cat
Black segments are analyzed here. Roll mouse over color images to view segments.
Best viewed in a wide browser window (1200 pixels or more). Download SED & P(z) plots to view larger versions.
In P(z) plots: Yellow lines mark the cluster redshift z = 0.341,
Object #2448 x,y = (4269, 2719) RA, Dec = (01:42:44.880, 44:38:16.44) = (25.68700, 44.63790) BPZ = 3.462 [2.610--3.703] type = 11.00 (SB11_A_0_l) chisq2 = 9.11 ODDS = 0.70 z_cluster = 0.341