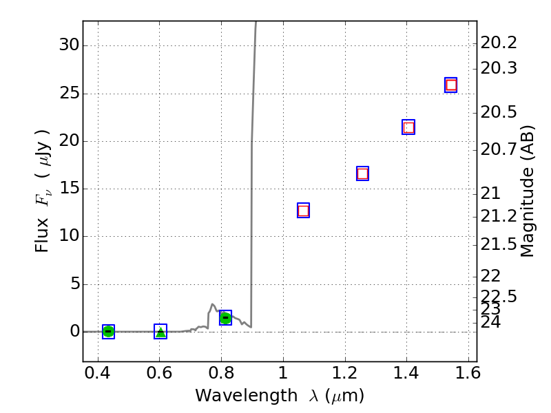
RXC0142+44 ACS+IR detection object #2382
Color images and BPZ results
Catalog: 2382.cat
Black segments are analyzed here. Roll mouse over color images to view segments.
Best viewed in a wide browser window (1200 pixels or more). Download SED & P(z) plots to view larger versions.
In P(z) plots: Yellow lines mark the cluster redshift z = 0.341,
Object #2382 x,y = (4235, 2765) RA, Dec = (01:42:45.072, 44:38:19.32) = (25.68780, 44.63870) BPZ = 6.384 [5.989--8.856] type = 6.00 (Sbc_B10) chisq2 = 0.00 ODDS = 0.44 z_cluster = 0.341