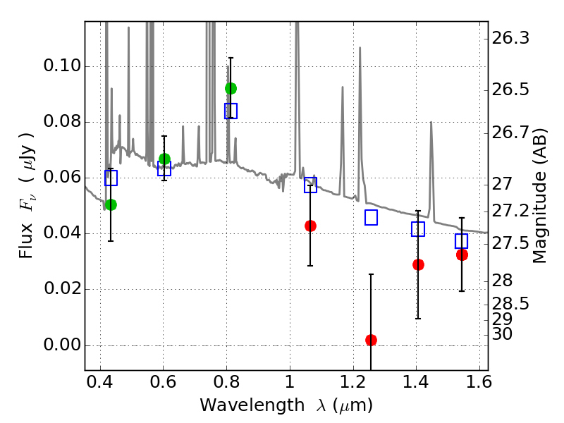
RXC0142+44 ACS+IR detection object #1937

Color images and BPZ results
Catalog: 1937.cat
Black segments are analyzed here.   Roll mouse over color images to view segments.
Best viewed in a wide browser window (1200 pixels or more).   Download SED & P(z) plots to view larger versions.
In P(z) plots: Yellow lines mark the cluster redshift z = 0.341,  

Object #1937   x,y = (2357, 3001)   RA, Dec = (01:42:55.608, 44:38:33.36) = (25.73170, 44.64260)   BPZ = 0.134 [0.087--0.287]   type = 10.40 (SB3_B10 - SB11_A_0_l)   chisq2 = 0.92   ODDS = 0.65   z_cluster = 0.341